6b. Partição da Variação dos Dados
Vídeo gravado pelo Google Meet em aula síncrona no dia 30 de setembro de 2020. Sem edição.
7ExgVGTbvX0
O teste t, apresentado no tutorial 6a, é usado apenas para o caso de termos uma variável resposta numérica contínua e uma preditora categórica com dois níveis. Caso a preditora tenha mais do que dois níveis, precisamos usar um outro teste que é uma generalização do teste t, o teste de Análise de Variância ou ANOVA. O teste está baseado no princípio de partição da variação dos dados. A variação total dos dados é particionada nos componentes do que é explicado e aquele que não é explicado pela variável preditora categórica. Esse conceito é aplicado de maneira mais ampla na estatística, utilizado em outros tipos de estatística e para a tomada de decisão do modelo que melhor explica a variação nos dados. Por isso, vamos focar este tutorial no conceito da partição da variação.
Para exemplificar a partição da variância associada à ANOVA, vamos usar o exemplo de dados de colheita de um cultivar em diferentes tipos de solos, apresentado no livro de Robert Crawley, The R Book, como segue abaixo:
Tradução livre da descrição do livro “The R Book” (Crawley, 2007)
“… a melhor forma de entender o que está acontecendo é trabalharmos um exemplo. Temos um experimento em que a produção agrícola, por unidade de área, é medida em 10 campos de cultivo, selecionados aleatoriamente em cada um de três tipos diferentes de solo. Todos os campos foram semeados com a mesma variedade de semente e manejados com as mesmas técnicas (fertilizantes, controle de pragas). O objetivo é verificar se o tipo de solo afeta significativamente o rendimento de culturas, e caso afete, quanto.”1)
Vamos organizar os dados apresentados no livro em um objeto no R diretamente:
are <- c(6,10,8,6,14,17, 9, 11, 7, 11) arg <- c(17, 15, 3, 11, 14, 12, 12, 8, 10, 13) hum <- c(13, 16, 9, 12, 15, 16, 17, 13, 18, 14) solo <- rep(c("arenoso", "argiloso", "humico"), each = 10) cultivar <- data.frame(producao = c(are, arg, hum), solo = solo) str(cultivar)
Primeiro vamos fazer uma inspeção nos dados na forma de um boxplot:
cols <- c(rgb(0, 0, 0, 0.1), rgb(1, 0,0, 0.3), rgb(0,0,1, 0.3)) par(mar = c(4,4,2,1), las = 1, cex = 1.5) boxplot(producao ~ solo, data = cultivar, col = cols, xlab = "Tipo de solos", ylab = "Produção (ton/ha)", range = 0) points(x = jitter(rep(1:3, each = 10)), y = cultivar$producao, bg = rep(cols, each = 10), pch = 21)
A pergunta aqui é: Há variação na produtividade média entre solos?
Variação Total dos Dados
A partição da variação inicia-se pelo reconhecimento e cálculo da variação total associada aos dados. A variação total dos dados é baseada nos desvios das observações em relação à grande média, que no caso, é a média de todos os campos de cultivo. Vamos representar esses desvios:
par(mar = c(4,4,2,1), las = 1, cex = 1.5) colvector <- rep(cols, each= 10) plot(x = 1:30, y = cultivar$producao , ylim = c(0,20), xlim = c(0, 30), pch=(rep(c(15,16,17), each=10)), col = colvector, ylab = "Variável Resposta", xlab = "Observações", cex = 1.5) for(i in 1:30) { lines(c(i,i),c(cultivar$producao[i], mean(cultivar$producao)), col = colvector[i]) } abline(h = mean(cultivar$producao), lty = 2) legend("bottomright", legend = c("arenoso", "argiloso", "humico"), pch = 15:17 ,col = cols, title = "Solos", bty = "n")
No gráfico esta variação é representada pelos segmentos verticais coloridos. A grande média é definida como a média de produtividade de todos os campos de cultivo (n=30), independente do tipo de solo, e é representada pela linha preta horizontal tracejada.
Medimos essa variação total pela soma quadrática: os valores dos desvios dos dados em relação à grande média (segmentos verticais no gráfico) elevados ao quadrado e posteriormente somados. Essa soma quadrática total é nossa medida de variação.
$$ SQ_{"total"} = \sum_{i=1}^k\sum_{j=1}^n (y_{ij} - \bar{\bar{y}})^2 $$
Aqui calculamos o valor de somatória quadrática que é a base da análise de ANOVA.
(mGeral <- mean(cultivar$producao)) (dGeral <- cultivar$producao - mGeral) (dqGeral <- dGeral^2) (sqGeral <- dqGeral) (sdqGeral <- sum(sqGeral))
Fizemos acima todos os passos isoladamente, pois iremos utilizar mais à frente alguns desses valores intermediários.
Vamos iniciar a construção da nossa tabela de ANOVA, incluindo a medida de variação total na sua posição:
Particionando a Variação
Um ponto importante da soma quadrática é que esta variação é aditiva e pode ser decomposta. Uma parte dessa variação é explicada pelo tratamento, que são nossas variáveis preditoras 2). A porção não explicada pelas variáveis preditoras é o resíduo, algumas vezes chamado de erro. A porção não explicada está associada à variação aleatória dos dados ou a algum, ou vários fatores que não foram incluídos ou controlados no nosso experimento.
Variação Não Explicada
Vamos primeiro representar essa variação não explicada, ou variação interna aos níveis da variável categórica:
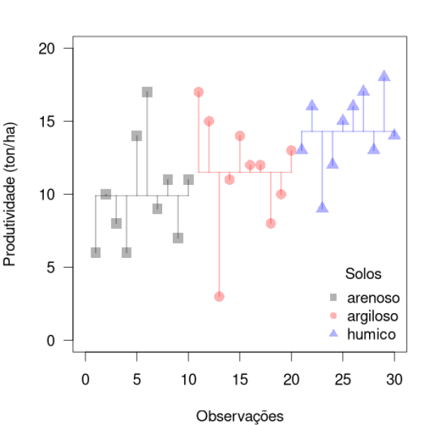
(mSolos <- tapply(cultivar$producao, cultivar$solo, mean)) mSolosVetor <- rep(mSolos, each = 10) par(mar = c(4,4,2,1), las = 1, cex = 1.5) plot(x = 1:30, y = cultivar$producao , ylim = c(0,20), xlim = c(0, 30), pch=(rep(c(15,16,17), each=10)), col = colvector, ylab = "Produtividade (ton/ha)", xlab = "Observações", cex = 1.5) segments(x0 = 1:30, y0 = cultivar$producao, y1= mSolosVetor, col = colvector, lwd = 2) segments(x0 = c(1,11, 21), y0 = mSolos, x1 = c(10, 20, 30), col = cols, lwd =1.5) legend("bottomright", legend = c("arenoso", "argiloso", "humico"), pch = 15:17 ,col = cols, title = "Solos", bty = "n")
No código acima utilizamos a função segments e não foi necessário utilizar a iteração. Além disso, criamos um vetor de médias com a repetição das médias dos respectivos solos para cada observação no mSolosVetor, para facilitar a construção do gráfico.
Para calcular a variação não explicada precisamos usar o mesmo procedimento da variação total: elevar os resíduos ao quadrado e somar, resultando também em uma somatória quadrática.
(sqIntra <- sum((cultivar$producao - mSolosVetor)^2))
Incluindo esse valor na nossa tabela:
Variação Explicada
A variação explicada pelas variáveis preditoras é a diferença entre a variação total e a não explicada, devido à característica aditiva das somatórias quadráticas. Vamos representar a variação que foi explicada, ou variação entre os níveis da variável preditora categórica, em um gráfico:
par(mar = c(4,4,2,1), las = 1, cex = 1.5) plot(x = 1:30, y = cultivar$producao , ylim = c(0,20), xlim = c(0, 30), pch=(rep(c(0, 1 ,2), each=10)), col = colvector, ylab = "Produtividade (ton/ha)", xlab = "Observações", cex = 1) points(x = 1:30, y = mSolosVetor, pch = rep(c(15,16,17), each=10), col = colvector, cex = 1.5) segments(x0 = 1, y0 = mGeral, x1= 30, col = 1, lty = 2, lwd = 1.5) segments(x0 = 1:30, y0 = mSolosVetor, y1 = rep(mGeral, 30), col = colvector, lwd =1.5) legend("bottomright", legend = c("arenoso", "argiloso", "humico"), pch = 15:17 ,col = cols, title = "Solos", bty = "n")
Vamos calcular e incluir na nossa tabela essa variação, calculada pelo soma quadrática dos segmentos representados na figura:
(sqEntre <- sum((mSolosVetor - mGeral)^2))
Incluindo esse valor na nossa tabela:
Graus de Liberdade
Precisamos agora calcular os desvios quadráticos médios que são as somas quadráticas dividido pelos graus de liberdade (gl). Vamos utilizar a soma quadrática total para exemplificar o cálculo dos graus de liberdade: para calcular essa soma utilizamos os 30 valores de produtividade e calculamos a média geral. No caso, por termos calculado a média, perdemos um grau de liberdade e ficamos com 29 gl. Utilizando a mesma lógica para a soma quadrática não explicada, partimos das mesmas 30 informações e calculamos as 3 médias de produtividade dos solos, portanto, ficamos com 27 gl. Por fim, na soma quadrática explicada temos 3 informações, as médias de cada solo, e calculamos uma estatística, a média geral, ficando com 2 graus de liberdade. Com esses informação podemos então, calcular esses desvios quadráticos médios:
(sq <- c(sdqGeral, sqIntra, sqEntre)) glib <- c(29, 27, 2) (msq <- sq/glib)
Agora nossa tabela está quase completa, se calcularmos a razão entre os desvios médios explicado pelo não explicado, temos o cálculo da estatística da ANOVA, o F-Fisher:
(fcultiva <- msq[3]/msq[2])
Só falta agora o cálculo do p-valor associado ao teste F e à estatística F. O F-Fisher é uma distribuição probabilística que tem dois parâmetros: os graus de liberdade dos cálculos da (1) variação média entre e (2) intra grupos.
pf(q = fcultiva, df1 = 2, df2 = 27, lower.tail = FALSE)
Pronto! Nosso almejado p-valor e tabela completa!
Distribuição de F
Os gráficos de outras aulas apresentaram a distribuição de densidade probabilística, onde a variável y é relacionada à probabilidade de cada valor em intervalos muito pequenos. O valor da probabilidade cumulativa é a área da curva até o valor fornecido, o que é retornado pela função pf. No caso, como utilizamos o argumento lower.tail = FALSE, a função retorna a outra área da curva, representada pela figura a seguir:
curve(expr=df(x, 2,27), main="Distribuição F de Fisher (df=2,27)", xlab="Valor FALSE",ylab="Densidade Probabilística (df)", xlim=c(0,10)) abline(v = fcultiva, col="red") abline(h = 0, lty = 2) xf <- seq (fcultiva, 10, 0.01) ydf <- df(xf, 2, 27) polygon(c(fcultiva, xf), c(0, ydf), col="red") text(6, 0.1,paste("pf(x) =",round(pf(fcultiva,2,27,lower.tail=F),4)), cex = 1.2, col="red")
Anova no R
A tabela de anova é tão importante que a função anova no R retorna a tabela para objetos de modelos. Vamos ver isso no próximo tópico. Para o teste da análise de variância, propriamente dito, a função utilizada é aov. No caso do objeto produzido pela função aov a tabela aparece se aplicarmos a função anova ou summary ao objeto aov, que também é um objeto da classe modelo linear lm.
(cultAov <- aov(producao ~ solo, data = cultivar)) class(cultAov) anova(cultAov) summary(cultAov)
![[[http://phdcomics.com/comics/archive.php?comicid=262]] [[http://phdcomics.com/comics/archive.php?comicid=262]]](/lib/exe/fetch.php?w=600&tok=d478e5&media=02_tutoriais:tutorial6b:phdstatistics.gif)










